Polysaccharide Structure Analysis Service
- Identify the monosaccharide composition and relative content of polysaccharides;
- Determine the types of glycosidic linkages and linkage positions;
- Analyze branching structures and substituent distributions;
- Evaluate molecular weight and degree of polymerization;
- Compare structural differences among polysaccharides from different sources.
- Mass spectrometry, NMR, and chromatography data files;
- Spectral and microscopic images (TIFF or PNG format);
- Structural interpretation and feature tables (Excel format);
- Comprehensive analysis report (PDF format), including experimental conditions and result descriptions;
- Raw data files and spectra.
MtoZ Biolabs utilizes a high-resolution multi-analytical platform and has launched the polysaccharide structure analysis service which enables systematic studies of the chemical structures and conformational characteristics of polysaccharides. This service is widely applied in natural product characterization, bioactive polysaccharide research, and structural modification analysis, providing a scientific data foundation for polysaccharide structural elucidation and functional mechanism studies.
MtoZ Biolabs provides clients with comprehensive polysaccharide structural analysis services:
Our analysis offers a systematic and in-depth understanding of polysaccharide structural characteristics, enabling researchers to comprehensively reveal the structural patterns and potential biological functions of polysaccharides.
Overview
Polysaccharide structure refers to a macromolecular framework formed by multiple monosaccharide molecules linked through glycosidic bonds. The characteristics of its main chain, branches, and substituents determine the physicochemical properties and biological functions of the polysaccharide. Polysaccharides are widely found in plants, microorganisms, and animals, participating in biological processes such as energy storage, immune regulation, and signal transduction. Analyzing polysaccharide structures is essential for understanding their biological roles and structure-activity relationships and has important applications in drug development, functional food research, and biotechnology.

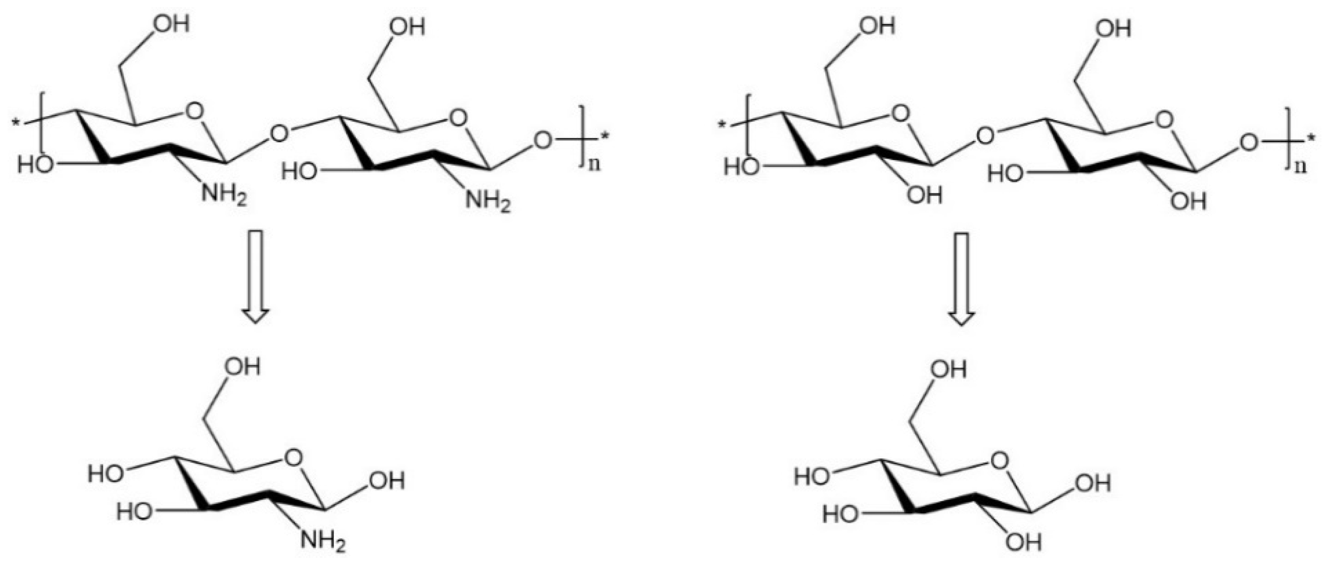
Ren, Y. et al. Molecules, 2019.
Figure 1. Structures of Animal and Plant Polysaccharides (Left: Chitosan; Right: Cellulose).
Polysaccharide Structure Analysis Service at MtoZ Biolabs
Technical Platforms for Polysaccharide Structure Analysis Service
1. Mass Spectrometry (MS)
Utilizes high-resolution mass spectrometry to accurately identify the monosaccharide composition, glycosidic bond types, and branching structures of polysaccharides, providing key data support for structural elucidation.
2. Nuclear Magnetic Resonance (NMR)
Employs 1H, 13C, and two-dimensional correlation spectra to reveal the chemical environment and spatial conformation of polysaccharides, enabling refined structural characterization.
3. High-Performance Anion-Exchange Chromatography with Pulsed Amperometric Detection (HPAEC-PAD)
Directly detects underivatized monosaccharides and oligosaccharides, quantitatively analyzing their composition and relative ratios with high sensitivity and reproducibility.
4. Infrared Spectroscopy (IR)
Identifies functional groups such as hydroxyl, carboxyl, and glycosidic bonds through characteristic absorption peaks, allowing rapid assessment of polysaccharide chemical structures.
5. Electron Microscopy (EM)
Visualizes the microscopic morphology and aggregation state of polysaccharides, intuitively displaying their spatial architecture and surface features.

Xu, B W. et al. Food Frontiers, 2024.
Figure 2. Techniques for the Analysis of Polysaccharides.
Why Choose MtoZ Biolabs?
✅High-Resolution Detection: Accurately identifies glycosidic linkage types and branching characteristics of polysaccharides.
✅High Data Reliability: Standardized procedures ensure result reproducibility and accuracy.
✅Comprehensive Structural Analysis: Covers monosaccharide composition, glycosidic bond types, and substituent distribution.
✅Professional Technical Support: Provided by an experienced analytical team offering method optimization and result interpretation.
✅One-Stop Service Process: Encompasses the entire workflow from sample preparation to analysis and report generation.
Applications of Polysaccharide Structure Analysis Service
1. Natural Product Research
Used to analyze the structural characteristics of polysaccharides derived from plants, microorganisms, and marine sources, supporting natural product composition studies.
2. Drug and Functional Polysaccharide Development
Helps clarify the structural basis and bioactivity relationships of medicinal polysaccharides, guiding the design of novel functional polysaccharides.
3. Polysaccharide Modification and Structural Optimization
Used to evaluate structural changes and stability of polysaccharides after chemical or enzymatic modification.
4. Quality Control and Standardization
Analyzes the composition and structural consistency of polysaccharide samples, providing a basis for product development and quality management.
5. Biological Mechanism Studies
Reveals the structural characteristics and functional patterns of polysaccharides involved in cell recognition, immune regulation, and signal transduction.
Deliverables
1. Comprehensive Experimental Details
2. Materials, Instruments, and Methods
3. Mass Spectrometry, NMR, and Chromatography Data
4. Polysaccharide Composition and Structural Analysis Results
5. Mass Spectra, Spectroscopic Charts, and Microscopic Images
6. Comprehensive Analysis Report
7. Raw Data Files
FAQ
Q1: What types of samples are suitable?
A1: The polysaccharide structure analysis service is suitable for various types of polysaccharide samples, including natural polysaccharides, synthetic polysaccharides, and their derivatives. To ensure the accuracy of analytical results, samples should have high purity, be free of proteins, salts, and other impurities, and remain dry and stable.
Q2: What is the service general workflow?
A2:

Q3: What data formats are provided?
A3: The service deliverables include standardized, multi-format data results to facilitate scientific analysis and further applications. Regular deliverables include:
If special analytical requirements exist, data formats can be customized according to project specifications.
Q4: How should I prepare my samples?
A4: To ensure analytical quality and reproducibility, it is recommended that sample preparation follows these guidelines:
(1) Sample form: Lyophilized powder or solution forms are acceptable;
(2) Purity: Avoid high salt content, proteins, and particulate impurities;
(3) Storage conditions: Store at -20℃ for short-term and -80℃ for long-term preservation;
(4) Sample transport: Ship using cold chain or dry ice to ensure sealed and leak-proof containers;
(5) Information provided: Specify sample source, treatment method, and intended analytical goals to optimize testing parameters.
For more information, please refer to Sample Submission Guidelines for Proteomics, Sample Submission Guidelines for Metabolomics.
Start Your Project with MtoZ Biolabs
Contact us to discuss your experimental design or request a quote. Whether you are focusing on the molecular conformation of polysaccharides or evaluating their structural diversity and stability, MtoZ Biolabs will provide you with reliable data support and professional analysis.
How to order?

