Melibiose Analysis Service
Melibiose is a disaccharide composed of galactose and glucose linked by an α-1,6-glycosidic bond. It naturally occurs in certain plant products, yeast extracts, and as an intermediate in the hydrolysis of raffinose-family oligosaccharides. Due to its physiological relevance, and sweetening properties, melibiose has become an important target for analysis in food science, biotechnology, fermentation, and metabolic research. Accurate and reliable determination of melibiose content, purity, and structural properties is crucial for understanding carbohydrate metabolism, assessing enzymatic reactions, and ensuring quality control in industrial and research settings.

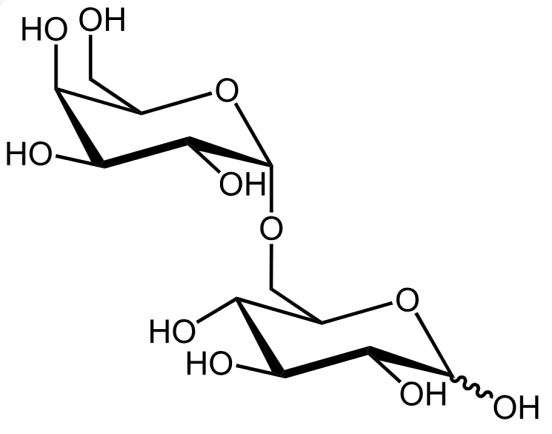
Source: Wikipedia
Figure 1. Structure of Melibiose
MtoZ Biolabs provides a comprehensive Melibiose Analysis Service. Our offerings include quantitative content determination, purity assessment, structural characterization, stability testing, and metabolic profiling of melibiose. Leveraging advanced analytical platforms such as High-Performance Liquid Chromatography (HPLC), Electrospray Ionization Mass Spectrometry (ESI-MS), Liquid Chromatography–Mass Spectrometry (LC-MS), Nuclear Magnetic Resonance (NMR), Fourier Transform Infrared Spectroscopy (FTIR), and X-ray Diffraction (XRD), we deliver high-precision results that support both academic and industrial research.
Service at MtoZ Biolabs
MtoZ Biolabs offers a full spectrum of analytical solutions for melibiose research and quality assessment, including:
💠Content Determination
Quantitative measurement of melibiose levels in raw materials, intermediate products, and final formulations.
💠Purity Analysis
Evaluation of sample composition and detection of related sugars such as glucose, galactose, and raffinose to ensure product integrity.
💠Structural Characterization
Identification of molecular structure, linkage type, and stereochemistry using LC-MS, NMR, and FTIR platforms.
💠Stability Evaluation
Assessment of melibiose stability under different environmental conditions such as temperature, pH, and humidity.
💠Metabolic Study
Analysis of melibiose metabolism in biological systems, supporting studies on carbohydrate utilization and enzymatic activity.

Álvarez-Cao, M. E. et al. Microb Cell Fact. 2019.
Figure 2. Identification of Melibiose Hydrolysis Products
Analytical Platform
Melibiose analysis involves the separation, identification, and quantification of the sugar molecule and its derivatives through a combination of chromatographic and spectroscopic techniques.
🔸HPLC provides high-resolution separation of melibiose and related sugars based on polarity and molecular interactions. Equipped with refractive index (RI) or evaporative light scattering (ELSD) detectors, it enables accurate quantification of both pure and complex samples.
🔸ESI-MS and LC-MS offer structural elucidation and molecular mass confirmation of melibiose and its metabolites. They allow sensitive detection of minor components and differentiation of structural isomers.
🔸NMR enables in-depth structural analysis by determining hydrogen and carbon environments, revealing glycosidic linkages and molecular configuration.
🔸FTIR identifies characteristic functional groups such as hydroxyl and glycosidic bonds, providing complementary insights into molecular structure and purity.
🔸XRD characterizes the crystalline nature of melibiose and its solid-state forms, which is critical in pharmaceutical and material science applications.
Service Advantages
✔️High Accuracy and Reliability
Every analytical method is validated with strict calibration standards to guarantee consistent and traceable results.
✔️Customizable Analytical Protocols
Tailored method design based on sample type and project goals to meet specific research or industrial requirements.
✔️Rapid and Efficient Turnaround
Fast analysis and reporting timelines help clients accelerate decision-making and product development.
✔️Expert Technical Support
Our professional carbohydrate analysis team offers consultation and data interpretation for all analytical stages.
Applications
1. Biomedical Research
Investigating its potential as a therapeutic agent for neurodegenerative diseases (e.g., spinocerebellar ataxia).
Studying its role in cellular processes like autophagy.
2. Food & Beverage Industry
Quality control and component analysis in food products (e.g., soy-based foods, honey).
Monitoring fermentation processes.
3. Biochemical & Metabolic Studies
Serving as a standard for quantifying melibiose in various biological and environmental samples.
Research on carbohydrate metabolism in plants, microorganisms, and humans.
4. Microbiology & Biotechnology
Studying bacterial metabolism and transport systems.
Application in developing microbial production platforms.
Sample Submission Suggestions
1. Sample Types: Biological extracts, fermentation liquids, food and beverage products, plant tissues, and other materials.
2. Recommended Sample Quantity:
Liquid samples: ≥ 2 mL
Solid samples: ≥ 2 g
Complex or low-concentration samples: ≥ 5 g
3. Storage and Transport: Store at –20°C for short-term use or –80°C for long-term preservation. Transport samples on dry ice or with sealed cold packs to maintain stability.
*Notes: For special sample types or low-yield materials, please contact us before preparation.
Deliverables
1. Comprehensive Experimental Details
2. Materials, Instruments, and Methods
3. Total Ion Chromatogram & Quality Control Assessment (project-dependent)
4. Data Analysis, Preprocessing, and Estimation (project-dependent)
5. Bioinformatics Analysis
6. Raw Data Files
At MtoZ Biolabs, we combine advanced instrumentation with deep scientific expertise to deliver high-precision carbohydrate analysis. Our Melibiose Analysis Service enables researchers and industries to confidently assess melibiose quality, stability, and metabolic roles. In addition to high-quality Melibiose Analysis Service, we also offer comprehensive analytical services for monosaccharides, polysaccharides, and oligosaccharides. Free project evaluation, welcome to learn more details.
How to order?
