Maltotriose Analysis Service
- Detailed experimental documentation (instrumentation, parameters, and methods)
- Raw and processed data files with chromatograms and spectra
- Quantitative results for maltotriose and related oligosaccharides
- Structural and stability analysis reports
- Quality control and reproducibility assessment
- Customized analytical summary and recommendations based on project goals
- Raw and processed data files (CSV or Excel)
- Chromatograms and spectra (TIFF or PNG)
- Comprehensive analytical report in PDF format containing methods, parameters, results, and expert commentary
- Quality control summary and comparison charts (if applicable)
- Additional data formats or structured outputs can be provided upon request.
MtoZ Biolabs provides comprehensive Maltotriose Analysis Services using advanced chromatographic, mass spectrometric, electrophoretic, and biosensor-based platforms. Our Maltotriose Analysis Services offer precise quantification, purity evaluation, structural characterization, and stability assessment of maltotriose in biological, food, and industrial samples. These analyses support research and production in enzymology, fermentation, metabolic studies, and carbohydrate engineering with highly accurate and reproducible results.
What Is Maltotriose?
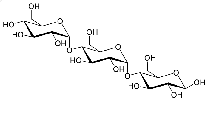
Maltotriose is a trisaccharide composed of three glucose units linked by α-1,4 glycosidic bonds. It is a key intermediate product in starch and glycogen hydrolysis and serves as an essential carbohydrate in many biological and industrial processes. Maltotriose plays a vital role in understanding enzymatic digestion, microbial metabolism, and carbohydrate utilization.

Source: Wikipedia
Figure 1. The Structure of Maltotriose
The importance of maltotriose lies in its biological and functional relevance:
🔸Energy Source and Metabolic Intermediate
Maltotriose is an important energy substrate in plants, microorganisms, and animals. It reflects the enzymatic breakdown of polysaccharides and the efficiency of amylase activity.
🔸Fermentation and Brewing
In beer and bioethanol production, maltotriose fermentation affects flavor, yield, and process efficiency. Yeasts that can metabolize maltotriose contribute to higher alcohol yields and balanced flavor profiles.
🔸Enzyme Kinetics and Biotechnology
Studying maltotriose helps evaluate α-amylase, β-amylase, and glucoamylase activities, providing insights into enzyme kinetics and industrial enzyme design.
🔸Food and Nutrition
Maltotriose contributes to sweetness, texture, and digestibility in food formulations, and its content must be controlled to ensure product stability and nutritional balance.
Accurate analysis of maltotriose and related oligosaccharides is therefore essential for both fundamental research and applied product development.
Maltotriose Analysis Service at MtoZ Biolabs
MtoZ Biolabs employs multiple analytical techniques to ensure comprehensive and precise maltotriose characterization.
1. Chromatography (HPLC, HPAEC-PAD)
High-performance liquid chromatography (HPLC) enables efficient separation of maltotriose from other sugars using hydrophilic interaction or ion-exchange columns.
High-performance anion-exchange chromatography coupled with pulsed amperometric detection (HPAEC-PAD) takes advantage of the weakly acidic and reducing nature of carbohydrates. It provides high sensitivity and specificity for direct sugar analysis without derivatization.
2. Mass Spectrometry (MS)
Liquid chromatography–mass spectrometry (LC-MS) combines chromatographic resolution with mass-based identification. This technique enables high-sensitivity quantification and structural confirmation of maltotriose, distinguishing it from similar oligosaccharides such as maltose and maltotetraose.
3. Capillary Electrophoresis (CE)
CE separates sugars based on charge-to-size ratio under an electric field, allowing fast and efficient analysis with minimal sample consumption. It is especially useful for high-throughput sugar profiling in biological fluids or fermentation samples.
4. Biosensor Platforms
Enzyme-based biosensors measure maltotriose concentration in real-time using immobilized amylases or glucose oxidases. These sensors enable rapid and dynamic monitoring of enzymatic hydrolysis or fermentation processes.
By integrating these advanced methods, MtoZ Biolabs delivers precise quantitative and qualitative maltotriose analysis suitable for complex biological and industrial samples.

Chen, X. et al. J. Am. Soc. Brew. Chem. 2015.
Figure 1. Chromatogram of the Maltooligosaccharide Standards: 1=Maltose; 2=Maltotriose; 3=Maltotetraose; 4=Maltopentaose; 5=Maltohexaose; 6=Maltoheptaose.
Why Choose MtoZ Biolabs
☑️High Sensitivity and Specificity: Capable of detecting trace levels of maltotriose in complex matrices.
☑️Flexible and Customizable Services: Analytical workflows tailored to project requirements and sample types.
☑️Experienced Scientific Team: Expert analysts ensure accurate data interpretation and result validation.
☑️Rapid Turnaround Time: Streamlined workflows provide efficient service delivery without compromising data quality.
Applications of Maltotriose Analysis Service
1. Food and Beverage Industry: Determining maltotriose levels in malt extracts, syrups, and beer for quality control and formulation optimization.
2. Fermentation and Bioenergy Research: Monitoring maltotriose metabolism to improve ethanol yield and fermentation efficiency.
3. Enzyme Characterization: Assessing α-amylase and glucoamylase activities during starch degradation or industrial enzyme development.
4. Nutritional Science: Studying maltotriose digestibility, glycemic response, and its role in carbohydrate-based functional foods.
5. Biotechnology and Metabolic Research: Investigating maltotriose flux in microbial or plant metabolic pathways.
Deliverables
FAQ
Q1: What Types of Samples Are Suitable?
A1: MtoZ Biolabs accepts a wide range of sample types for maltotriose analysis, including but not limited to fermentation broths, enzymatic hydrolysates, food and beverage samples, biological fluids, and purified carbohydrate standards. Samples can come from microbial cultures, plant extracts, or industrial formulations in either liquid or solid form.
If you have special sample types or preparation requirements, please contact MtoZ Biolabs in advance. We also offer customized sample preparation services to ensure compatibility with our analytical platforms and to guarantee accurate, high-quality results.
Q2: What Is the Service General Workflow?

Q3: What Data Formats Are Provided?
A3: MtoZ Biolabs delivers results in multiple widely compatible formats, including:
Q4: How Should I Prepare My Samples?
1. Liquid samples (such as fermentation broths or enzymatic hydrolysates): Centrifuge or filter to remove particulates before submission, then store at –20°C or 4°C depending on stability.
2. Solid samples (such as powders or dried extracts): Seal tightly in moisture-proof containers and store at room temperature in a dry environment.
3. Food or beverage samples: Avoid preservatives or additives that may interfere with chromatographic detection; clearly label composition details.
4. Biological fluids: Freeze immediately after collection and store at –80°C until shipment.
Each sample should be properly labeled with its type, source, and concentration (if known). For more information, please refer to Sample Submission Guidelines for Proteomics and Sample Submission Guidelines for Metabolomics
Start Your Project with MtoZ Biolabs
Contact us to discuss your experimental design or request a quote. Our technical specialists are available to provide a free business assessment.
How to order?
