Lactitol Analysis Service
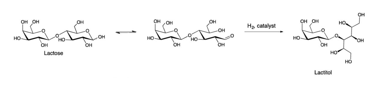
Lactitol is a sugar alcohol derived from the hydrogenation of lactose, consisting of one molecule of galactose and one molecule of sorbitol linked through a β-1,4-glycosidic bond. It is commonly used as a low-calorie sweetener in foods, pharmaceuticals, and nutraceuticals due to its mild sweetness, low glycemic index, and beneficial prebiotic properties. Chemically, lactitol has the molecular formula C12H24O11 and retains structural features of lactose, making it non-cariogenic and suitable for diabetic-friendly formulations. As the demand for reduced-sugar and health-oriented products grows, accurate analysis of lactitol content, purity, and stability becomes crucial for product development, regulatory compliance, and metabolic research.

Ackerman, D. L. et al. Carbohydr Res. 2017.
Figure 1. Lactitol is Produced Through Hydrogenation of Lactose
MtoZ Biolabs provides a professional Lactitol Analysis Service that offers comprehensive evaluation through content determination, purity analysis, structural elucidation, stability testing, and metabolic profiling. Utilizing advanced analytical platforms such as High-Performance Liquid Chromatography (HPLC), Liquid Chromatography–Mass Spectrometry (LC-MS), Gas Chromatography (GC), High-Performance Anion Exchange Chromatography (HPAEC), Nuclear Magnetic Resonance (NMR), and Fourier Transform Infrared Spectroscopy (FTIR), MtoZ Biolabs ensures high-resolution, accurate, and reproducible results for lactitol detection in a wide range of matrices, including foods, beverages, pharmaceuticals, and biological samples.
Service at MtoZ Biolabs
💠Content Determination: Quantitative measurement of lactitol concentration in food, pharmaceutical, or biological samples using validated HPAEC, HPLC, or LC-MS methods.
💠Purity Analysis: Assessment of lactitol purity by detecting potential contaminants or by-products such as lactose, sorbitol, and mannitol.
💠Structural Analysis: Comprehensive molecular characterization of lactitol via NMR and MS to confirm structural identity and linkage types.
💠Stability Evaluation: Monitoring of lactitol under thermal, pH, and oxidative stress conditions to evaluate storage stability and degradation pathways.
💠Metabolic and Degradation Studies: Profiling of lactitol metabolism in biological systems to support nutritional, clinical, and pharmacokinetic investigations.
Analysis Workflow

Service Advantages
✔️State-of-the-Art Technology
By utilizing the latest technologies in chromatography and spectroscopy, we deliver accurate, reproducible results, making sure your studies are based on the most advanced and reliable methods.
✔️Customization and Flexibility
Our services are highly adaptable to meet the specific needs of each project. Whether you are focusing on stability testing or metabolic studies, we provide solutions tailored to your research objectives.
✔️Experienced Scientific Support
Our team of experts in carbohydrate chemistry and analytical techniques ensures high-quality data interpretation and offers technical support throughout the process.
✔️One-Time-Charge
Our pricing is transparent, no hidden fees or additional costs.
Applications
1. Food Industry
Evaluation of lactitol in sugar-free, low-calorie, and diabetic-friendly food products such as confectionery, baked goods, and frozen desserts to ensure quality and consistency.
2. Pharmaceutical and Nutraceutical Formulations
Analysis of lactitol purity and stability in oral tablets, syrups, and dietary supplements to meet pharmacopoeial and regulatory requirements.
3. Metabolic and Nutritional Research
Investigation of lactitol metabolism, absorption, and fermentation in human or animal systems for understanding prebiotic and glycemic effects.
4. Biotechnology and Fermentation Studies
Monitoring lactitol synthesis and conversion efficiency in enzymatic and microbial processes.
Sample Submission Suggestions
1. Sample Types: Food and beverage products, pharmaceutical formulations, fermentation broths, plant extracts, or biological samples containing lactitol or related polyols.
2. Storage and Transport: Samples should be stored at –20°C in sealed containers and transported on dry ice or with ice packs to preserve integrity.
3. Replicates: At least three biological or technical replicates are recommended for accurate statistical evaluation.
4. Documentation: Include sample type, origin, expected lactitol concentration, and project objectives to ensure proper analytical configuration.
*Note: MtoZ Biolabs provides detailed sample handling guidance. Please contact us in advance for customized guidance.
Deliverables
1. Comprehensive Experimental Details
Instrument specifications, analytical conditions, and calibration parameters used for lactitol analysis.
2. Raw Data Files
Chromatographic data, mass spectrometry results, and calibration curves specific to lactitol.
3. Graphical Outputs
Relevant plots such as chromatograms, peak integrations, purity profiles, and mass spectra.
4. Final Analytical Report
Detailed results including lactitol concentration, purity, and any other relevant findings with data interpretation. The report will also include a comparative discussion based on your project objectives.
5. Technical Interpretation
Insightful data analysis with recommendations for next steps, based on your specific research or product development needs.
MtoZ Biolabs provides precise and reliable Lactitol Analysis Services tailored to your specific research and product development needs. Contact us to unlock deeper insights and optimize your processes with our comprehensive analytical solutions.
How to order?
