Cerebrosides Analysis Service
MtoZ Biolabs provides comprehensive Cerebrosides Analysis Service for accurate identification, quantification, and structural elucidation of cerebrosides in biological and clinical samples. This service supports research in neuroscience, metabolism, and lipid biology, addressing analytical challenges such as isomer resolution, low-abundance detection, and complex molecular diversity.
Overview
Cerebrosides, also known as monoglycosylceramides, are a subclass of glycosphingolipids composed of a ceramide linked to a single sugar residue, either glucose (glucocerebrosides) or galactose (galactocerebrosides). They are critical components of neural membranes, contributing to myelin formation, neuronal signaling, and membrane integrity.
Beyond the central nervous system, cerebrosides are involved in lipid metabolism, immune recognition, and cellular communication. Altered cerebroside profiles are associated with neurological disorders such as Gaucher and Krabbe diseases, as well as with neurodegeneration and metabolic dysfunction.

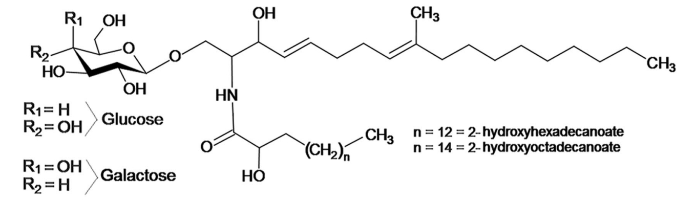
Figure 1. Typical Fungal Cerebroside Structure
Accurate and reproducible Cerebrosides Analysis Service provides essential insights into these processes, facilitating biomarker discovery, disease mechanism studies, and drug development.
Services at MtoZ Biolabs
Leveraging advanced LC-MS/MS, high-resolution Orbitrap platforms, and lipidomics-specific extraction workflows, our Cerebrosides Analysis Service provides sensitive, reproducible, and quantitative analysis of cerebrosides in complex biological matrices.
1. Qualitative and Quantitative Analysis
UHPLC coupled with Orbitrap MS enables high-sensitivity detection and quantification of cerebroside species, including galactocerebrosides and glucocerebrosides. Both label-free and isotope-labeled quantification options are available, ensuring accurate comparisons across biological conditions.
2. Structural Characterization
Tandem MS (MS/MS) fragmentation and accurate mass analysis are applied to define sugar linkages, ceramide chain length, and hydroxylation patterns. This provides detailed structural insights essential for differentiating cerebroside molecular species.
3. Isomer Resolution and Profiling
By combining chromatographic retention time optimization and ion mobility separation, our workflow differentiates structural isomers and quantifies their relative abundances, enabling precise molecular mapping of cerebrosides within tissues and biofluids.
4. Targeted and Untargeted Lipidomics Integration
We offer both discovery-oriented untargeted profiling for comprehensive lipid landscape mapping and targeted MRM/PRM quantification for hypothesis-driven studies, allowing seamless integration with broader glycosphingolipid or sphingolipid analyses.
5. Bioinformatics and Data Interpretation
All data are processed through standardized pipelines for annotation, quantification, and comparative analysis. Integrated pathway mapping and correlation analysis help elucidate the biological roles of cerebrosides in metabolic and neurological processes.
Why Choose MtoZ Biolabs?
✅ Comprehensive Analytical Coverage
Our service covers a wide range of cerebroside subclasses and molecular species, including both glucocerebrosides and galactocerebrosides, enabling detailed exploration of their structural and functional diversity.
✅ Advanced Instrumentation Platform
Using UHPLC and Orbitrap-based MS systems, MtoZ Biolabs ensures high-resolution detection and accurate quantification of complex glycosphingolipids.
✅ Wide Sample Compatibility
We accommodate various biological matrices such as plasma, cerebrospinal fluid, tissues, and cultured cells, providing flexibility for diverse research designs.
✅ Transparent Workflow
Each project follows a well-defined process with clear communication and transparent pricing. Clients receive timely progress updates throughout the analytical process.
✅ Data Integrity and Expert Support
All results are fully documented and quality-verified. Our lipidomics experts provide scientific consultation and interpretation support for reliable, publication-ready outcomes.
Sample Submission Suggestions
|
Sample Type |
Recommended Amount |
|
Brain / Nerve Tissue |
≥ 50 mg |
|
Serum / Plasma |
≥ 0.5 mL |
|
Cerebrospinal Fluid |
≥ 50 μL |
|
Cultured Cells |
≥ 1×106 cells |
Samples should be stored at −80 °C and protected from light. Avoid repeated freeze–thaw cycles. MS-grade solvents are recommended for extraction. Detailed preparation instructions are available upon request.
MtoZ Biolabs’ Cerebrosides Analysis Service empowers researchers to investigate the roles of cerebrosides in neural integrity, lipid metabolism, and disease pathology. Through precise and reproducible mass spectrometric data, this service supports studies in neuroscience, biomarker discovery, and therapeutic development.
For consultation or collaboration, contact the MtoZ Biolabs Lipidomics Team, your trusted partner in Cerebrosides Analysis Service solutions.
FAQ
1. Which cerebrosides and related lipids can be detected in this service?
Our Cerebrosides Analysis Service allows precise detection of key glycosphingolipids such as Glucosylceramide, Galactosylceramide, Lactosylceramide, Sulfatides, Ganglioside GM1, and Ceramide. The workflow supports high-sensitivity profiling across diverse biological matrices, enabling reliable assessment of both abundant and low-level species.
Related Services
How to order?
