Cellobiose Analysis Service
MtoZ Biolabs provides professional Cellobiose Analysis Services using advanced chromatography, mass spectrometry, enzymatic assays, and biosensor-based platforms. Our cellobiose analytical solutions enable precise quantification, purity assessment, structural characterization, and metabolic profiling of cellobiose in biological, food, and industrial samples. This service supports research in carbohydrate chemistry, biomass conversion, and microbial metabolism with accurate and reproducible data.
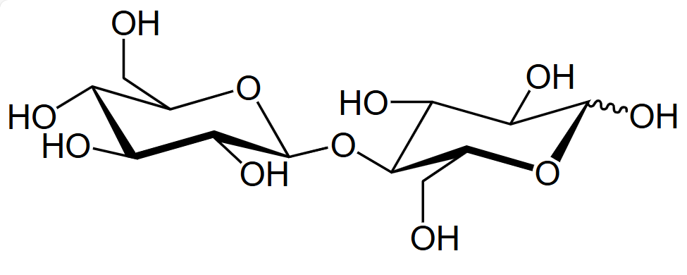
What Is Cellobiose?
Cellobiose is a disaccharide composed of two glucose molecules linked by a β(1→4) glycosidic bond. It is the fundamental repeating unit of cellulose, generated during the enzymatic or chemical hydrolysis of lignocellulosic biomass. Although not commonly found in free form in nature, cellobiose plays a critical role in energy metabolism and cellulose degradation processes.

Source: Wikipedia
Figure 1. The Structure of Cellobiose
Understanding and quantifying cellobiose is essential for several reasons:
1. Biomass Conversion: Cellobiose is a key intermediate in cellulose-to-glucose conversion, making it a valuable indicator of enzymatic hydrolysis efficiency.
2. Microbial Fermentation: Cellobiose utilization reflects microbial enzyme activity and carbon source adaptation in fermentation systems.
3. Food and Nutrition Science: Cellobiose analysis supports studies on carbohydrate digestion and the development of prebiotic formulations.
4. Industrial Biotechnology: Monitoring cellobiose formation and degradation ensures quality control in biofuel, biopolymer, and enzymatic production processes.
Accurate cellobiose measurement helps optimize enzymatic hydrolysis conditions, improve bioenergy yields, and deepen understanding of carbohydrate metabolism in both natural and engineered systems.
Service at MtoZ Biolabs
MtoZ Biolabs combines multiple complementary analytical techniques to ensure accurate and reliable results in cellobiose detection and quantification.
1. Chromatography (HPLC/GC)
High-performance liquid chromatography (HPLC) and gas chromatography (GC) are used for separating cellobiose from other sugars or metabolites. Coupled with refractive index (RI) or evaporative light scattering detection (ELSD), these methods offer excellent sensitivity and reproducibility.
2. Mass Spectrometry (MS)
Liquid chromatography–mass spectrometry (LC-MS) enables structural confirmation and high-precision quantification of cellobiose. It allows for differentiation from similar oligosaccharides and provides detailed fragmentation profiles.
3. Enzymatic Assays
Specific enzymes such as β-glucosidase are employed to hydrolyze cellobiose into glucose, and the resulting products are measured spectrophotometrically or electrochemically. This approach provides rapid and selective detection in complex biological matrices.
4. Biosensor Technology
Enzyme-linked biosensors or electrochemical sensors can monitor real-time cellobiose concentration, providing dynamic analysis of enzymatic hydrolysis or microbial metabolism.
By integrating these technologies, MtoZ Biolabs ensures comprehensive coverage for structural, quantitative, and kinetic cellobiose analysis.

Schröder C. et al. Appl Microbiol Biotechnol. 2019.
Figure 2. Visualization of Cellobiose Hydrolysis by HPLC
Service Advantages
✔️Comprehensive Coverage: Integration of chromatography, mass spectrometry, enzymatic, and biosensor techniques.
✔️High Sensitivity and Specificity: Capable of detecting cellobiose at trace levels in complex matrices.
✔️Customizable Solutions: Tailored analytical workflows to meet specific project requirements.
✔️Accurate and Reproducible Results: Strict quality control ensures consistency and reliability.
✔️Fast Turnaround Time: Optimized workflows and advanced instrumentation reduce analysis time without compromising quality.
Applications
1. Food Industry: Used in nutritional supplements and functional foods to enhance dietary fiber intake and support gut health.
2. Bioengineering: Serves as a substrate or inducer to promote cellulase production and improve cellulose degradation efficiency.
3. Pharmaceuticals: Applied in bowel-cleansing formulations and as an active component in constipation treatment development.
4. Agriculture and Environment: Supports studies on cellulose decomposition, soil carbon cycling, and biomass utilization.
Sample Submission Suggestions
1. Sample Types
Food products, beverages, pharmaceuticals, fermentation broths, plant extracts, or other biological samples.
2. Recommended Sample Quantity
Solid samples: ≥ 2 g
Liquid samples: ≥ 2 mL
3. Storage and Transport
Samples should be sealed in airtight containers and stored at –80°C. Transport on dry ice or with ice packs to prevent degradation.
*Note: For samples with limited availability or specific handling requirements, please contact MtoZ Biolabs for customized sample preparation instructions.
Deliverables
1. Detailed experimental information including instrumentation, analytical methods, and operating parameters
2. Original and processed data with chromatograms, spectra, and calibration curves
3. Comprehensive quality control evaluation ensuring accuracy, precision, and reproducibility
4. Bioinformatics and statistical analysis for data interpretation and pathway insights
5. Customized analytical report tailored to specific project requirements, summarizing results, and key conclusions
With extensive experience in carbohydrate chemistry and state-of-the-art instrumentation, MtoZ Biolabs delivers accurate, reproducible, and publication-ready data to help clients understand and optimize cellobiose-related processes at every stage of research and production. Free project evaluation, welcome to learn more details.
How to order?
