Arabinoxylooligosaccharide Analysis Service
Arabinoxylooligosaccharides (AXOS) are oligosaccharides composed of xylose and arabinose units linked by glycosidic bonds, typically derived from the enzymatic hydrolysis of plant hemicellulose or xylan. AXOS possess excellent water solubility and biological activity, promoting the growth of beneficial bacteria, regulating gut microbiota, and exhibiting antioxidant and immunomodulatory effects. Owing to their unique structural and functional properties, arabinoxylooligosaccharides are widely applied in plant polysaccharide research, biomass utilization, microbial metabolism studies, and the development of functional oligosaccharides.

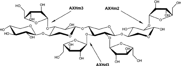
Michlmayr, H. et al. Applied and Environmental Microbiology, 2013.
Figure 1. Schematic representation of an arabino-xylooligosaccharide (AXOS) molecule.
Services at MtoZ Biolabs
Based on advanced instrumentation and analytical platforms, MtoZ Biolabs offers the arabinoxylooligosaccharide analysis service that provides comprehensive characterization of arabinoxylooligosaccharides (AXOS). This service enables both qualitative and quantitative detection of AXOS in samples, analyzing sugar chain composition, degree of polymerization distribution, and substitution structures, while comparing structural variations and content differences across samples. Through high-sensitivity detection and precise data interpretation, this service delivers reliable analytical support for the structural study, physicochemical evaluation, and biological function investigation of AXOS. MtoZ Biolabs provides services including but not limited to the following:
1. Quantitative Analysis
Using HPLC or LC-MS/MS, the AXOS content in samples is accurately measured to ensure reliable results.
2. Composition Analysis
The ratio and linkage patterns of arabinose and xylose units are analyzed to reveal the chemical composition and structural characteristics of the sample.
3. Structural Characterization
High-resolution mass spectrometry and nuclear magnetic resonance (NMR) are employed to elucidate the backbone structure and glycosidic bond types of AXOS.
4. Degree of Polymerization Distribution
Different degrees of polymerization (DP) are determined to assess AXOS diversity and provide insights into structure-function relationships.
5. Substituent Type Analysis
Side chains of arabinose, acetylation, and methoxylation modifications are identified to define substitution characteristics and structural variations.
6. Stability Evaluation
Changes in physicochemical properties under various environmental conditions are monitored to assess the stability and application suitability of AXOS.
Sample Submission Suggestions
1. Sample Type
A wide range of sample types is accepted, including plant extracts, fermentation broths, xylan hydrolysates, and purified arabinoxylooligosaccharide formulations, in liquid, powder, or lyophilized forms.
Note: Samples should be free of high salt, protein, or organic solvent residues to prevent interference with mass spectrometry sensitivity and data accuracy.
2. Sample Storage
Samples should be sealed and stored in a dark environment. For short-term storage, keep at -20°C; for long-term preservation, store at -80°C. Avoid repeated freeze-thaw cycles to prevent structural degradation.
3. Sample Transportation
Liquid samples are recommended to be shipped under dry ice cold-chain conditions, while lyophilized samples can be sent at room temperature for short periods, but must be protected from moisture, heat, and light to maintain sample stability.
Service Advantages
1. High-Resolution Detection Platform
Powered by advanced LC-MS systems, enabling highly sensitive quantification and structural characterization of arabinoxylooligosaccharides.
2. Rigorous Quality Control System
Standard calibration, quality control monitoring, and replicate validation are implemented to ensure data accuracy and reproducibility.
3. Customized Analytical Solutions
Flexible and adjustable analytical strategies are designed according to sample characteristics and research objectives.
4. Comprehensive One-Stop Service
Covers the entire workflow from sample preparation and analytical detection to result reporting, ensuring seamless operation and reduced project turnaround time.
Applications
1. Plant Cell Wall Research
By analyzing the structural composition and distribution of arabinoxylooligosaccharides, this service helps elucidate mechanisms of plant cell wall degradation and reconstruction.
2. Biomass Conversion Research
The arabinoxylooligosaccharide analysis service can be used to evaluate the conversion efficiency of arabinoxylan during enzymatic hydrolysis or pretreatment processes.
3. Microbial Metabolism Studies
By examining the utilization and metabolic pathways of arabinoxylooligosaccharides in various microbial systems, this service uncovers their carbon source metabolic characteristics.
4. Polysaccharide Function Research
The arabinoxylooligosaccharide analysis service enables exploration of the relationship between AXOS structural features and their biological functions.
FAQ
Q1: Does Sample Pretreatment Affect Detection Sensitivity?
A1: Yes. Residual salts or organic solvents may cause signal suppression. It is recommended to perform desalting or purification before analysis. MtoZ Biolabs also provides professional sample pretreatment services to ensure optimal detection quality.
Q2: Should Samples Be Purified before Submission?
A2: Clients may perform basic purification to remove salts, proteins, or organic solvent residues; however, MtoZ Biolabs can also handle sample preparation to guarantee analytical compatibility and reliability.
Q3: Can Other Types of Oligosaccharides Be Analyzed Simultaneously?
A3: Yes. The platform supports multiplex detection, allowing simultaneous analysis of arabinoxylooligosaccharides along with other oligosaccharides such as xylooligosaccharides, manno-oligosaccharides, and fructooligosaccharides within the same experiment.
How to order?
