Sodium Alginate Analysis Service | Pharmaceutical Excipient
Sodium alginate is a natural polysaccharide extracted from brown algae and is the sodium salt of alginic acid. It is mainly composed of residues of D-mannuronic acid (M) and L-guluronic acid (G). Due to its unique physicochemical properties, sodium alginate is widely applied in pharmaceutical excipients, food, and cosmetics. In the pharmaceutical field, sodium alginate is commonly used as a binder and disintegrant in tablets and capsules, as a thickening and suspending agent in oral liquid formulations, as a stabilizer in emulsions, and as an important carrier in sustained-release formulations and drug delivery systems. It not only improves drug formation and stability but also regulates drug release rate and enhances formulation performance.
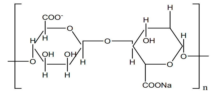
Homayouni, A. et al. 2007.
Figure 1. The Structure of Sodium Alginate
With the tightening of global pharmaceutical regulations and increasing quality requirements, the source, structure, purity, viscosity, and impurity control of sodium alginate have drawn increasing attention. As a professional pharmaceutical excipient analysis CRO, MtoZ Biolabs has launched the sodium alginate analysis service based on pharmaceutical excipient, relying on advanced analytical platforms and an experienced team to provide systematic detection and evaluation. This service enables pharmaceutical companies and research institutions to comprehensively assess excipient characteristics and ensure compliance in R&D and regulatory submission.
Services at MtoZ Biolabs
MtoZ Biolabs’ sodium alginate analysis service includes chemical, physical, and functional multi-dimensional evaluations, aiming to provide clients with complete quality and performance data support. To achieve this, we provide a range of targeted assessments, including:
✔️ Physicochemical Characterization: Appearance, solubility, pH, moisture content, and viscosity testing to ensure excipients meet pharmacopeial and formulation requirements.
✔️ Molecular Structure and Composition: Analysis of M/G ratio and degree of polymerization to assess the impact of block structure on excipient performance.
✔️ Impurity and Safety Testing: Detection of heavy metals, ash, sulfated ash, microbial limits, and harmful residues to ensure excipient safety.
✔️ Functional Testing: Evaluation of performance as a binder, disintegrant, or thickening agent in tablets and suspensions, simulating formulation scenarios.
✔️ Stability and Storage Performance: Monitoring degradation trends and viscosity changes under different conditions of temperature and humidity to predict storage and application risks.
Through these systematic analyses, clients can not only obtain basic parameters of excipients but also understand their adaptability in different formulation systems.
Analysis Workflow
1. Sample Receipt and Confirmation: Registration and preliminary inspection of submitted samples.
2. Sample Preparation: Grinding, drying, or dissolution depending on testing requirements.
3. Physicochemical and Structural Analysis: Testing of fundamental physicochemical indicators and molecular composition.
4. Impurity and Functional Testing: Conducting heavy metal, microbial, and formulation functionality experiments.
5. Data Integration and Review: Comprehensive analysis and review of experimental data.
6. Report Preparation and Delivery: Generating detailed analytical reports with conclusions and recommendations.
Service Advantages
1. Comprehensive Quality Evaluation
MtoZ Biolabs provides full coverage sodium alginate analysis service from basic physicochemical parameters and structural composition to functionality and stability, enabling clients to fully understand sodium alginate properties and supporting reliable formulation development.
2. Compliance with Pharmacopeial and International Standards
Our sodium alginate analysis service content is referenced against USP, PhEur, and related standards, ensuring internationally comparable data suitable for global pharmaceutical R&D and regulatory evaluation.
3. Multi-Platform Technical Support
MtoZ Biolabs combines spectroscopic, chromatographic, mass spectrometric, and physicochemical platforms to ensure data accuracy and integrity, enabling reliable analysis of sodium alginate samples from diverse sources and specifications.
4. Flexible Customized Services
Depending on clients’ R&D stages and application needs, MtoZ Biolabs offers standardized testing packages or customized analysis schemes to increase data relevance and applicability.
5. Professional Team and Efficient Delivery
With an experienced analytical team and well-structured internal processes, MtoZ Biolabs guarantees efficient project execution and delivers comprehensive reports within a reasonable timeframe to support both research and regulatory needs.
Applications
1️⃣ Tablet and Capsule Development: Evaluation of binder and disintegrant performance.
2️⃣ Liquid and Semi-Solid Formulations: Research on suitability as a thickening and stabilizing agent in oral liquids, emulsions, and gels.
3️⃣ Sustained and Controlled Release Formulations: Testing drug release properties in hydrogels, microspheres, and oral controlled-release carriers.
4️⃣ Excipient Quality Control: Ensuring raw material sodium alginate complies with pharmacopeial and regulatory requirements.
5️⃣ Novel Drug Delivery Systems: Exploration of applications in nanoparticles, tissue engineering scaffolds, and other innovative fields.
Sample Submission Suggestions
1. Samples must be kept dry and free from moisture; recommended quantity not less than 5 g.
2. For liquid samples, please specify concentration and solvent.
3. A sample information form including source, batch number, and intended application should be provided.
4. Special storage or transportation conditions should be communicated with technical support in advance.
Deliverables
1. Comprehensive Analytical Report: Including methods, results, charts, and interpretations.
2. Quality Assessment Conclusion: Evaluating sample compliance with pharmacopeial standards.
3. Raw Data Files: Partial original records available upon request.
4. Technical Recommendations: Providing reference advice for formulation development and quality improvement.
MtoZ Biolabs offers systematic sodium alginate analysis service supported by advanced platforms and an experienced team, delivering solid data support for clients’ R&D, regulatory submission, and production.
Contact our technical team today for more information and customized solutions, and let us be your trusted partner in excipient quality control.
How to order?
