Polydextrose Analysis Service | Pharmaceutical Excipient
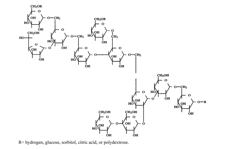
Polydextrose is a D-glucose polymer made by heating a mixture of glucose, sorbitol, and citric acid in a specific ratio, followed by vacuum polycondensation. It is a soluble fiber with the characteristics of low calories, low sugar, and high biodegradability, making it a common ingredient in low-sugar, low-calorie foods and pharmaceutical formulations. Common analytical methods include High-Performance Liquid Chromatography (HPLC) and Mass Spectrometry (MS), which allow precise evaluation of Polydextrose's physicochemical properties, stability, and its impact on drug release.
The polydextrose analysis service based on pharmaceutical excipient is widely applied in various fields. In the food industry, it is used as a dietary fiber supplement to improve the taste and texture of low-sugar, low-calorie foods. In the pharmaceutical industry, it is commonly used as a filler, sustained-release agent, or stabilizer, particularly in the development of controlled-release drugs, where it helps enhance bioavailability. Additionally, Polydextrose plays an important role in functional foods and nutrition research, providing key information regarding fiber content and gut health.

Aidoo, R P. et al. Trends in Food Science & Technology, 2013.
Figure. 1. Chemical Structure of Polydextrose.
Services at MtoZ Biolabs
Based on advanced analytical and technical platforms, MtoZ Biolabs offers the polydextrose analysis service based on pharmaceutical excipient which provides precise analysis of polydextrose. This service can analyze the molecular weight, structure, degree of polymerization, and distribution characteristics of polydextrose in different samples. Through high-resolution analysis, researchers can obtain detailed data on polydextrose, including molecular weight distribution, chemical composition, and interactions with other components. These data play a crucial role in quality control of polydextrose in the pharmaceutical industry, drug carrier research, and functional analysis in food and nutrition sciences. MtoZ Biolabs offers the following services, including but not limited to:
1. Professional Identification
(1) Colorimetric Reaction
Through specific colorimetric reaction methods, polydextrose can be quickly identified and its purity confirmed, helping to verify its chemical composition.
2. Molecular Weight Determination
(1) Size Exclusion Chromatography (SEC)
Using size exclusion chromatography, the molecular weight and distribution of polydextrose are measured, helping to understand its degree of polymerization and suitable for analyzing molecular weight distributions in complex samples.
3. Quantitative Analysis
(1) Chromatography Analysis
High-performance liquid chromatography (HPLC) is used to quantify polydextrose and accurately determine its content in samples, applicable to various sample types.
(2) Mass Spectrometry Analysis
Mass spectrometry is used for further quantitative analysis of polydextrose, ensuring high accuracy and enabling the analysis of structural features and modifications.
Sample Submission Suggestions
1. Sample Type
This service is suitable for samples containing polydextrose. Samples can be in liquid or solid form, and the integrity of the polydextrose component should be maintained.
2. Sample Purity
It is recommended to remove interfering substances such as proteins and lipids from the sample to improve the accuracy of the analysis.
3. Sample Storage and Transport
Samples should be transported under low-temperature conditions. Liquid samples can be transported using ice packs or dry ice, while solid samples should be sealed and protected from moisture. To ensure sample stability, it is advised to maintain low temperature throughout the transport process.
Service Advantages
1. High Precision Analysis
With advanced chromatography and mass spectrometry technologies, this service provides accurate analysis of polydextrose's molecular structure, distribution, and content, ensuring high accuracy and reliability of the results.
2. High Sensitivity
Using optimized analytical methods, the service can detect low-abundance polydextrose components, especially suitable for analysis of complex samples, ensuring sensitive and accurate data.
3. Customized Solutions
Tailored analysis plans are provided based on the specific needs of clients, ensuring that diverse research goals and application scenarios are met.
4. Efficient Workflow
A one-stop service is offered, simplifying the experimental process from sample preparation to data analysis, enhancing research efficiency.
Applications
1. Drug Formulation and Excipients Development
Polydextrose, as a pharmaceutical excipient, is analyzed for its quality and consistency to optimize drug formulations and ensure the performance of the product.
2. Food and Nutritional Product Development
As a low-calorie sweetener or dietary fiber source, polydextrose is analyzed for its content and stability to ensure the quality and standardization of food and nutritional products.
3. Quality Control and Certification
During the production of pharmaceuticals and biopharmaceuticals, polydextrose analysis effectively monitors the quality of polydextrose, ensuring compliance with standards.
4. Agricultural and Environmental Research
Polydextrose analysis is used to study its stability and properties in soil conditioners or plant protection agents, promoting the development of agricultural and environmental research.
FAQ
Q1: How Do You Ensure the Accuracy of the Analysis?
A1: We use advanced techniques such as high-performance liquid chromatography (HPLC) and mass spectrometry (MS) to ensure precision and reliability. By optimizing the analytical methods, we ensure the accuracy of the results.
Q2: What Is the Importance of Quality Control for Polydextrose?
A2: Quality control of polydextrose is crucial for ensuring the stability and consistency of products like pharmaceuticals and food. Detailed analysis of polydextrose ensures its stability in formulations, enhancing the quality and safety of the final product.
How to order?
