Chitin/Chitosan Analysis Service
-
FT-IR, XRD, SEM, NMR, LC-MS/MS, and GC-MS are integrated to simultaneously obtain structural and metabolic data, providing clients with comprehensive analytical results.
-
MtoZ Biolabs uses high-resolution mass spectrometry and advanced separation technologies to detect trace components and low-abundance metabolites, ensuring reliable results even in complex biological samples.
-
Our professional team, experienced in polysaccharide chemistry, mass spectrometry, and metabolomics research, can provide customized analytical solutions and data interpretation based on clients’ research goals.
-
Our pricing is transparent, with no hidden fees or additional costs.
Equipped with advanced analytical platforms, MtoZ Biolabs provides a high-sensitivity and comprehensive chitin/chitosan analysis service that covers two main modules, structural characterization and metabolomics research, to help clients fully elucidate the molecular composition, physicochemical properties, and biological mechanisms of chitin and chitosan, offering reliable data support for scientific and industrial applications.
What is Chitin/Chitosan?
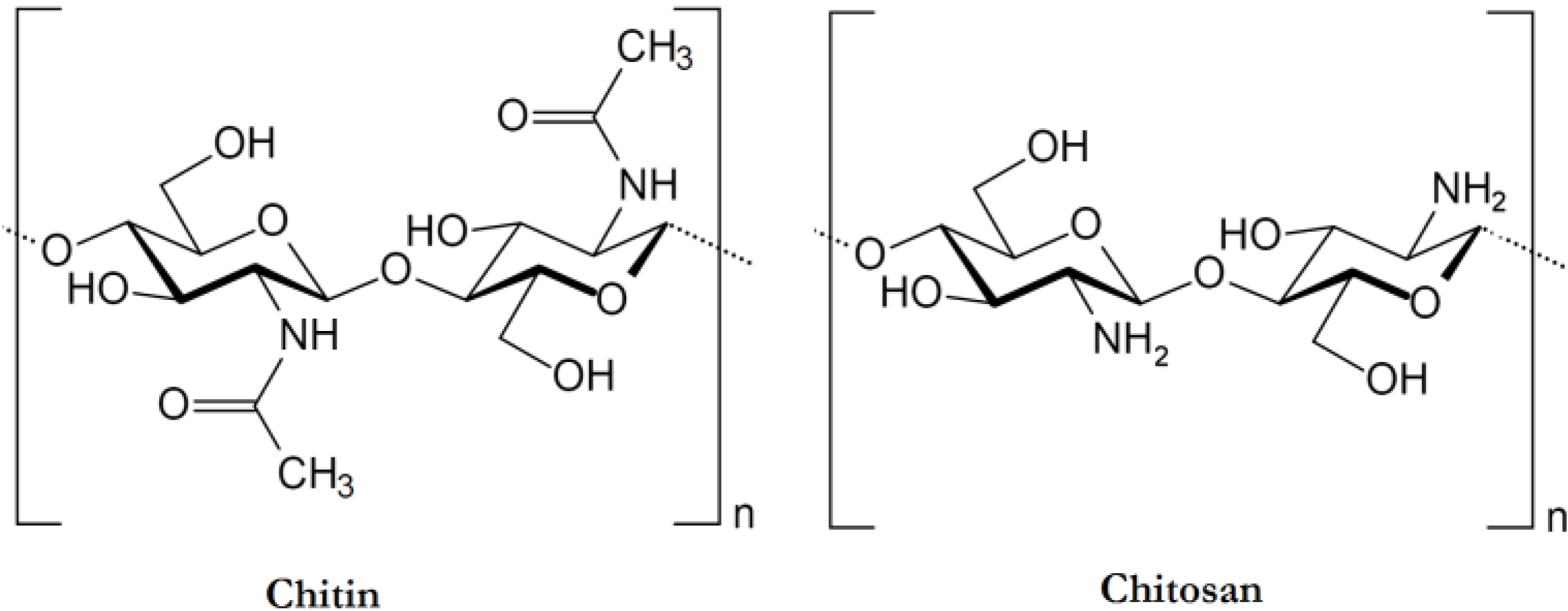
Chitin and chitosan are among the most abundant amino polysaccharides in nature and play vital roles in the structure and function of living organisms. Chitin is widely distributed in arthropods, mollusks, annelids, fungi, and yeast, while chitosan is mainly derived from the shells of marine organisms such as shrimp and crabs. They are structurally related, with chitosan being the product of the deacetylation of chitin. The degree of deacetylation (DDA) directly affects solubility, biocompatibility, and functional activity.

Younes, I. et al. Mar Drugs. 2015.
Figure 1. The Structure of Chitin and Chitosan
Due to their biodegradability, non-toxicity, good film-forming ability, and strong antibacterial properties, chitin and chitosan are widely used in drug delivery, tissue engineering, agricultural protection, food packaging, cosmetics, and environmental applications. To study their biological functions in depth and achieve high-quality utilization, it is essential to conduct systematic physicochemical characterization and metabolic mechanism analysis.
Services at MtoZ Biolabs
(1) Structural Analysis Service
Structural analysis is the foundation for studying the bioactivity and application performance of chitin and chitosan. MtoZ Biolabs provides a systematic chitin/chitosan analysis service covering chemical and physical characterization, including:
1. Functional Group and Chemical Structure Characterization
Fourier transform infrared spectroscopy (FT-IR) is used to identify characteristic functional groups such as C=O, N–H, and O–H, analyze the degree of deacetylation and intermolecular hydrogen bonding, and confirm molecular structure and chemical stability.
2. Crystalline Form and Crystallinity Analysis
X-ray diffraction (XRD) is applied to analyze the crystalline structures of chitin and chitosan, determine the ratio of crystalline to amorphous regions, and reveal structural differences among materials from various sources and treatments.
3. Surface Morphology and Structural Homogeneity Analysis
Scanning electron microscopy (SEM) is used to observe surface morphology, pore distribution, and fiber structure, assessing microstructural differences in chitin and chitosan from different origins.
4. Thermal Stability and Decomposition Characteristics
Thermogravimetric analysis (TGA) and differential scanning calorimetry (DSC) are used to measure thermal degradation behavior and thermal transition characteristics, providing data support for evaluating material stability and processing performance.
5. Molecular Weight and Degree of Deacetylation Determination
Gel permeation chromatography (GPC) and nuclear magnetic resonance (¹H-NMR, ¹³C-NMR) are combined to determine average molecular weight, molecular weight distribution, and degree of deacetylation (DDA), providing essential data for material classification and functional research.
Through multidimensional combined analysis, MtoZ Biolabs can comprehensively characterize chitin and chitosan samples from different sources, providing precise experimental support for material research, product development, and quality control.
(2) Metabolomics Analysis Service
To further study the biological activity of chitin and chitosan, researchers often explore their mechanisms of action through metabolomics. Our chitin/chitosan analysis service provides both targeted and untargeted metabolomics analysis to comprehensively reveal their biological regulatory mechanisms and metabolic responses at the molecular level.
1. Metabolic Profile Detection and Feature Extraction
High-resolution mass spectrometry (MS) combined with nuclear magnetic resonance spectroscopy (NMR) is used to qualitatively and quantitatively analyze endogenous metabolites related to chitin and chitosan metabolism in biological systems, obtaining a comprehensive metabolic profile.
2. Targeted and Untargeted Metabolomics Analysis
Targeted analysis focuses on the accurate quantification of known metabolites such as amino sugars and acetylation intermediates.
Untargeted analysis discovers potential metabolic biomarkers and novel signaling molecules, revealing the physiological effects of chitin and chitosan under different environmental and treatment conditions.
3. Detection Techniques and Platform Support
Our metabolite detection and characterization techniques include mass spectrometry (MS), nuclear magnetic resonance spectroscopy (NMR), Fourier transform infrared spectroscopy (FT-IR), and ultraviolet absorption spectroscopy (UV-Vis).
Supported by multiple instruments such as liquid chromatography–MS (LC-MS) and gas chromatography–MS (GC-MS), our platform covers both polar and nonpolar metabolites, ensuring broad detection range and high sensitivity.
4. Metabolic Pathway and Mechanism Analysis
Databases such as KEGG and MetaboAnalyst are used to annotate functions and perform pathway enrichment analysis of metabolites, revealing the biological roles and regulatory mechanisms of chitin and chitosan in metabolic networks.
Through systematic metabolomics analysis, MtoZ Biolabs provides an integrated chitin/chitosan analysis service for studying the mechanisms of chitin and chitosan, helping research teams extend from chemical characterization to biological functionality.
Analysis Workflow
1. Sample pretreatment: impurity removal, deproteinization, drying, or dissolution
2. Structural detection: analysis of physicochemical characteristics using FT-IR, XRD, SEM, TGA, and NMR
3. Metabolomics analysis: detection of metabolites and establishment of metabolic profiles through LC-MS or GC-MS
4. Data integration and pathway annotation: statistical analysis and functional interpretation using metabolic databases
5. Results summary and report generation: output of detailed spectra, data tables, and result explanations
Why Choose MtoZ Biolabs?
Applications
☑️ Biomaterials Development: Evaluation of chitosan structure and functional properties in tissue engineering, drug delivery, and bio-packaging
☑️ Metabolic Mechanism Research: Study of chitin synthesis and degradation pathways in fungi and arthropods
☑️ Food and Cosmetic Ingredient Analysis: Monitoring the purity and composition of chitin and chitosan in products
☑️ Agricultural and Environmental Research: Exploration of chitin-based biomaterials in antibacterial, antifungal, and adsorption applications
☑️ Biopharmaceutical and Metabolic Engineering: Support for research on metabolic regulation and synthetic pathway optimization
Deliverables
1. Complete analytical report
2. Structural characterization results
3. Molecular weight and degree of deacetylation data
4. Targeted and untargeted metabolite identification results
5. Metabolic pathway annotation and differential analysis summary
Contact the professional team at MtoZ Biolabs to customize your chitin/chitosan analysis service. We provide comprehensive and accurate technical support for your research and product development.
How to order?
